什么是光源显色性?光源的显色性是指物体在光源下呈现颜色的逼真程度,光源显色性越好,物体显示的颜色就越逼真;反之就失真。那么,光源显色性好坏怎么评价?本文对光源显色性及光源显色性好坏做了简要介绍。

显色性,是指光源显现被照物体颜色的性能,也就是颜色逼真的程度。显色性由显色指数Ra来表明。显色性好的光源对颜色的再现较好,所看到的颜色也就较接近物体自然原色;显色性差的光源对颜色的再现较差,所看到的颜色偏差较大。光源的显色性,是由光源的光谱功率分布所决定的,光谱连续的光源显色性好,物体在该光源下,所呈现的颜色就较逼直。
光源的显色性用显色指数的大小描述,而光源的光谱功率分布与光源显色指数的大小有密切关系,光谱成分比较全、光谱功率分布曲线比较平滑的光源,显色指数比较高;反之,光谱成分不全、各波长能量差别比较大的光源,显色指数偏低。
光源的显色性与光源使用时间的长短也有关,经过一段时间使用的光源,其光谱功率分布会发生一些细微的变化,为了精确的地了解光源的显色指数,我们需要及时检测该光源当时的光谱功率分布情况。
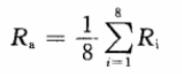
在CIE的显色评价系统中,显色性被定义为,待测光源下物体的颜色和参考光源下物体的颜色相符程度的度量,至今,这个指数仍在广泛使用着。在CRI的计算中,CIE以8个中等明度、饱和度颜色样本和6个特殊颜色样本为标准颜色样本,规定参考光源选择为普朗克辐射体(当色温低于5000K)和CIE日光参考光源(当色温大于或等于5000k)。在CIE1964年推荐的均W*U*V*匀色空间内,计算标准光源和待测光源下不同颜色样本的色差△E,则特殊显色指数Ri可表示为:

最终一般显色指数Ra就是前8块样本Ri的求和平均值,表示为:

CQS评价体系在颜色的还原性之外,还包含了人对颜色的偏好度,和CRI一样CQS也采用了测色法,首先通过计算被测光源和参考光源分别照明标准颜色样本时的颜色空间来计算色差,在计算被测光源的显色性指数。但CQS采用了不同的颜色样本和新的计算方法,主要改进如下:
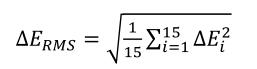
CQS使用了15种高饱和度色彩的标准颜色样品。相关的研究显示:如果某一光源对高饱和度色彩的颜色样品显色效果好的话,则该光源对低饱和色彩的颜色样品的显色效果也会很好。对于上述15中色样的颜色差异程度取15个数值的均方根,其表达式为:

从上式可以看到,对每个数据先进行了平方,再去其算数平均值,这使得颜色差异的权重得到增强;如果待测光源对某一两个颜色样品的显色性很差,那么最终的计算结果将受到很大的影响。
计算特殊显色指数时使用如下方法:

截屏,微信识别二维码
微信号:color-3nh
(点击微信号复制,添加好友)