D65光源是一种与自然光光谱十分接近的标准光源,在标准光源箱中有着广泛的应用。为了保证D65光源性能的稳定性,就需对其相关性能参数进行校准。那么,标准光源箱D65光源色温和照度怎么校准?本文对标准光源箱D65光源色温和照度校准方法做了介绍。

标准光源箱中D65 源的色温固定为6500K,这一数值是国际通用标准,精准对应北半球正午平均日光的色温,能模拟自然日光下的光照环境,为色彩检测提供统一的色温基准,避免因色温偏差导致的色彩判断失误。
但在标准光源箱中D65光源的照度无固定值,需符合行业通用范围要求。常规检测场景下,D65光源照度通常控制在500~2000lx之间;多数行业标准推荐D65光源照度为1000lx,既能清晰呈现物体色彩细节,又能避免强光导致的视觉疲劳。对于D65光源的照度需保持稳定,避免波动过大影响检测准确性。另外,可根据检测物体特性调整照度,但需在标准范围内校准。
开启对色灯箱电源开关,并开启被校标准光源,将标准光源预热15min。使对色灯箱处于暗室环境中,避免杂散光影响。然后将色温探头分别放置于各个测量点,逐点测量相关色温值。读数时,应将手远离探头,待显示稳定后记录9个点的测量值。若同时配置多种类型标准光源,应逐个重复上述步骤。
1.相关色温偏差
对上述校准记录的测量数据,按下列公式计算相关色温偏差。

公式中:r——对色灯箱相关色温偏差,K;Tav——对色灯箱在9个测量点的相关色温平均值,K;Ts——对色灯箱所配置的标准光源的标称相关色温值,K。
2.相关色温均匀度
对上述校准记录的测量数据,按下列公式计算相关色温均匀度。

公式中:Tmin对色灯箱在9个测量点中的实测最低相关色温值,K。
开启对色灯箱电源开关,并开启被校标准光源,将标准光源预热15min。使对色灯箱处于暗窒室环境中,避免杂散光影响。然后将光照度计探头分别放置于各个测量点,逐点测量光照度值。读数时,应将手远离探头,待显示稳定后记录9个点的测量值。若同时配置多种类型标准光源,应逐个重复上述步骤。
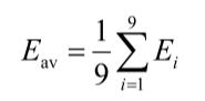
1.光照度
对上述记录的测量数据,光照度按照下列公式计算:

公式中:Eav——对色灯箱在9个测量点实测光照度值的平均值,lx;Ei——对色灯箱在9个测量点实测光照度值,lx。
2.照度均匀度
对上述记录的测量数据,按下列公式计算照度均匀度:

公式中:U2——照度均匀度,最小光照度与平均光照度之比;Emin——对色灯箱在9个测量点中的实测最低光照度值,lx。