LED光源是一种新型固态冷光源,具有优良的性能,在不同行业有着广泛的应用。显色性是评价LED光源的一项重要的颜色指标,它影响着颜色评定结果的准确性。本文对LED光源优点及其显色性的评价方法做了简要的介绍。

从电光源的发展历程来看,LED是继白炽灯,荧光灯和压电陶瓷(HTD)灯之后的第4代新型光源。LED光源的出现和发展将引起照明领域的一次变革,其具有以下优点:
1.节能。LED发光效率高、能量消耗低。目前照明级白光LED的发光效率已达100lm/W,与荧光灯相当,但LED比荧光灯节电约80%。
2.环保。LED 不含重金属汞,发光颜色纯正,不含紫外和红外辐射,没有频闪,是一种典型的绿色光源。
3.寿命长。普通白炽灯的寿命约为1000h,荧光灯、金属卤化物灯等寿命也都不超过10000h,而LED目前的使用寿命已长达数万小时。
4.结构牢固。LED通常采用环氧树脂封装,内部不存在松动部分,没有玻璃、灯丝等易损和易烧零部件,机械强度大、耐震动、耐冲击。
白光LED的光谱与传统光源光谱有很大区别,在使用CIE推荐的CRI方法评价光源显色性时存在表征不准确的问题,主要体现在人眼对显色性的判断与 CRI指数数值偏离,甚至出现显色指数低的LED比显色指数高的LED具有更好显色性的情况。
CIE177:2007《白光LED显色性》介绍了对于白光LED显色性研究的最新进展,由美国国家标准与技术研究院提出的色度品质法(CQS)是其中的典型代表,它也采用了色偏离比较法,但在检验色样选择上采取了一套由15种高饱和颜色组成的新的检验色样,如下图所示:

这种检验色样的选择主要是考虑对可见光谱区间380~780 nm中各波段都有较好的显色性,这样对于混合颜色的显色性也能相应的得到保障。
CQS评价体系在颜色的还原性之外,还包含了人对颜色的偏好度,和CRI一样CQS也采用了测色法,首先通过计算被测光源和参考光源分别照明标准颜色样本时的颜色空间来计算色差,在计算被测光源的显色性指数。但CQS采用了不同的颜色样本和新的计算方法,主要改进如下:
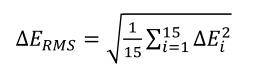
CQS使用了15种高饱和度色彩的标准颜色样品。相关的研究显示:如果某一光源对高饱和度色彩的颜色样品显色效果好的话,则该光源对低饱和色彩的颜色样品的显色效果也会很好。对于上述15中色样的颜色差异程度取15个数值的均方根,其表达式为:

从上式可以看到,对每个数据先进行了平方,再去其算数平均值,这使得颜色差异的权重得到增强;如果待测光源对某一两个颜色样品的显色性很差,那么最终的计算结果将受到很大的影响。
计算特殊显色指数时使用如下方法:
