光源在单位时间内发出的光量称为光通量,通常用符号Φ表示,单位为流明lm,光源光通量是表征光源总光输出的辐射能量,它标志光源的性能优劣,是描述光源发光总量的大小的。那么,标准光源箱中白炽灯的光通量怎么测试?下文做了介绍。

光通量指人眼所能感觉到的辐射功率,它等于单位时间内某一波段的辐射能量和该波段的相对视见率的乘积。由于人眼对不同波长光的相对视见率不同,所以不同波长光的辐射功率相等时,其光通量并不相等。
光通量的单位为“流明”。光通量通常用Φ来表示,这是反应人眼对光线强弱反应的一个主观单位。因视觉对此尚与光色有关。所以依标准光源及正常视力度量单位采用“流明”,符号:lm。可以这样理解光通量:光通量是每单位时间到达、离开或通过曲面的光能量。
流明(lm)是国际单位体系(SI)和美国单位体系(AS)的光通量单位。如果将光作为穿越空间的粒子(即光子),那么到达曲面的光束的光通量与1秒钟时间间隔内撞击曲面的粒子数成一定比例。
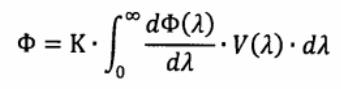
光通量的物理表达式为:

式中:
K:光敏度、感光度、在较大的光强下,人眼对于555nm的单色光的感知能力K=683.0021m/W。K值使光通量的单位与辐射功率的单位得到统一。
λ:波长,事实上人眼只对波长位于380nm-780nm的可见光有反应,习惯上我们把波长小于380nm的光波称为紫外线,把波长大于780nm的光波称为红外线,这一点也反映在了视见函数V(λ)中。
V(λ):称为人眼相对光谱敏感度曲线,亦作视见函数曲线,是总结了众多针对人眼的测试经验而得到的,它描述了人眼对不同波长的光的主观感受的强弱。
白炽灯积分球光通量的测量方法是通过标准光源的光通量与待测光源光通量的比较来实现。标准光源的光通量是已知量,其漫反射照度可以测出。待测光源的漫反射照度亦可测出,通过相对比较法即可得到其光通量。这就是利用积分球测量总光通量的基本原理。
如果有一总光通量为Fρa的标准光源,其球壁照度为Eρa,又测得被测光源的球壁照度Ex,根据分球原理,通量与球壁照度成正比,则有:Fx=Fρa·Ex/Eρa(a表示标准)。
这就是用积分球测量总光通量的基本计算公式。只要测出Ex和Eρa,Fρa由国家计量院标定,就可以求出被测光源总光通量Fx。这就是比较法即相对法测量光源总光通量的原理。
需要指出,以上测量结果是在理想情况下得到的。在实际测量过程中,由于各种误差因素的影响,测量结果与实际值必然有一定的偏差。导致偏差产生的原因主要有:标准灯的尺寸与被测灯的尺寸的不一致性、积分球本身的内部结构、积分球内壁和窗口选择性、异色温测光等等。所以,要想获得高精度的测量结果,必须对结果进行修正,才能减小甚至消除误差,获得理想的测量结果。